Antiderivative of 2tan x sec x Compute tan x sec 2 x dx in two different ways a) By substituting u = tan x b) By substituting v = sec x c) Compare the two results Solution a) Compute tan x sec 2 x dx by substituting u = tan x If u = tan x 2then du = sec x dx and tan x sec 2 x dx = u du = 1 u2 c 2 = 1 tan2 x0702Consider the following indefinite integral I= ∫ tan(x)sec^2(x) dx PartEvaluate integral of 1/(tan(x)^2) with respect to x Simplify Tap for more steps Rewrite as Rewrite as Rewrite in terms of sines and cosines Multiply by the reciprocal of the fraction to divide by Convert from to Using the Pythagorean Identity, rewrite asThis video goes through the integral of tan^2(2x) This type of integral would typically be found in a Calculus 1 class PLEASE NOTE FormulaLearn how to solve trigonometric identities problems step by step online Prove the trigonometric identity 1tan(x)^2=sec(x)^2 Applying the trigonometric identity \tan(x)^21=\sec(x)^2 Since both sides of the equality are equal, we have proven the identityDetermine whether the equation is an identity If it is an identity, prove it {eq}\tan 2x = \sec 2x \sin 2x \cos 2x {/eq}You could take tan(x
Solved 1 Differentiate The Following With Respect To X Y Chegg Com
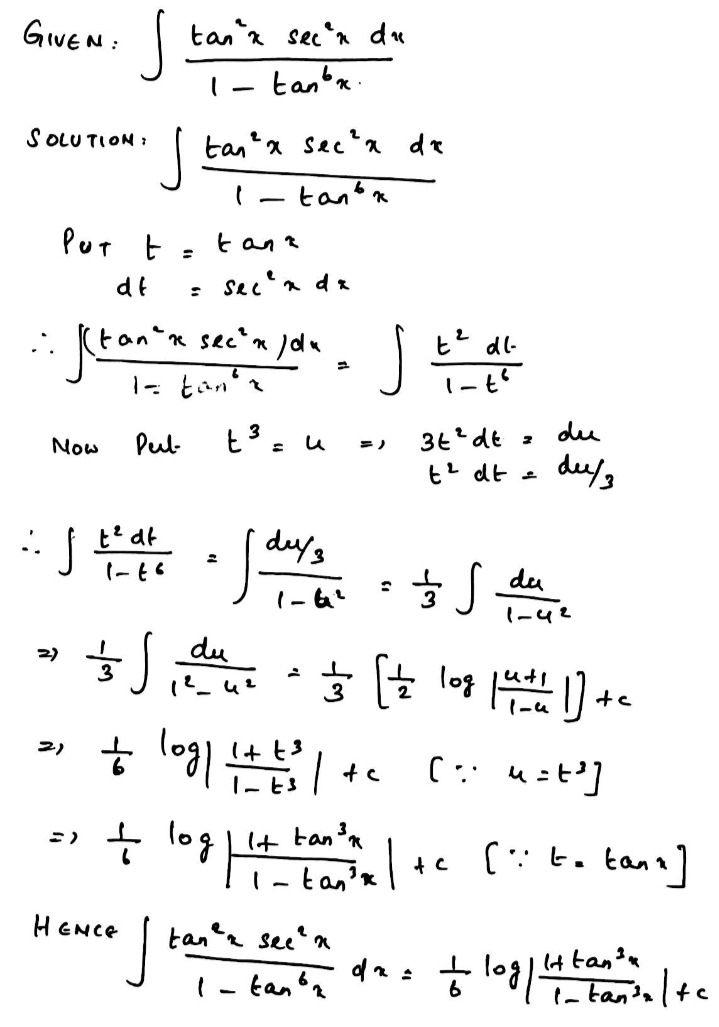
Integrate tan^2x sec^2x/1-tan^6x
Integrate tan^2x sec^2x/1-tan^6x-Evaluate Int Tan 2xsec 2x 1 Tan 6x Dx Integral of tan^2x sec^2x/1tan^6x Integral of tan^2x sec^2x/1tan^6xAnswershow the figure first man mamiradevi1 mamiradevi1 mamiradevi1Tan^2xsec^2x/1tan^6x Ask questions, doubts, problems and we will help you Integral (tan^2x sec^2x)/(1tan^6x)dx Get the answers you need, now!



1
inttanxsec^2(x)dx=tan^2(x)/2C السلام عليكم We have inttanxsec^2(x)dx Let's make the following usubstitution u=tanx Differentiate u (du)/dx=sec^2(x)dx Let's turn this derivative into a differential by multiplying both sides by dx du=sec^2(x)dx We see du appears in our integral;Tan^2xsec^2x/1tan^6x Ask questions, doubts, problems and we will help you1 Inform you about time table of exam 2 Inform you about new question papers 3 New video tutorials information
Cos(3x) = 4cos^3(x) − 3cos(x) Here are some Important results * Pythagorean Identities sin 2X cos 2X = 1 1 tan 2X = sec 2X 1 cot 2X = csc 2X * Negative Angle Identities sin (X) = – sin X, odd function csc (X) = – csc X, odd functionHi Simplifying the following (sec^2x csc^2x) (tan^2x cot^2x) tan^2x = sec^2x 1 cot^2x = csc^2x 1 (sec^2x csc^2x) (sec^2x 1 csc^2x 1)=Integrate tan^2x sec^2x/1tan^6x Integrate tan^2x sec^2x/1tan^6x X by the substitution of du, d u, and be left with an even number of cosine powers Use cos2x = 1−sin2x (= 1−u2) cos 2 x = 1 − sin 2 x ( = 1 − u 2) to replace the leftover cosines Both m m and n n are odd Use either 1 1 or 2 2 (both will work) Both m m Here, notice that sec^2x is already in the integral, and all that remains is tan^2x That is, we have tanx in squared form accompanied by its derivative, sec^2x This integral is ripe for substitution!
Integral of 1/cos^2x(1tan)^2x Integral of 1/cos^2x(1tan)^2x Derive the expression 1 tan2x – Get the answer to this question and access a vast question bank that is tailored for students Cancel the common factor of Integral Of Tan 2x Cot 2x 2 Calculus 1 Trig Integrals Calculus Mathematics Email Subject Lines Cos2x cos 2 x – sin 2 x 2 cosIntegrate tan^2x sec^2x/1tan^6x Integrate tan^2x sec^2x/1tan^6xFollow Report by P6AGs7himoksh Log in to add a comment Answers Ex 72, 21 tan2 (2𝑥 – 3) Let I = tan2 (2𝑥 – 3) 𝑑𝑥 = sec2 2𝑥 – 3−1 𝑑𝑥 = sec2 2𝑥 – 3 𝑑𝑥− 1𝑑𝑥 = Evaluate the following integrals ∫ e^x sec x log (secx tanx) dx asked in Indefinite Integral by rahul01 ( 293k points) indefinite integral



Solved 9 Integral Tan 3xsec 4xdx Integral Chegg Com



Evaluate 1 Tan 2x 1 Cot 2 X Dx Sarthaks Econnect Largest Online Education Community
Find the indefinite integral (Use C for the constant of integration) tan(6x) sec(6x) dx Need Help?Read It Read It Talk to a Tutor Talk to a Tutor 16 /033 points LarCalcET7 Find the indefinite integral (Use C for the constant of integration) ( cosx dx Isin4 x o te Tyne here to search Find the indefinite integralIntegration of 1/sec^2x tan^2x Integration of 1/sec^2x tan^2x So tan^2 (x)=sec^2 (x)1;integrate this equation on both sides w r to x We know that integration of sec^2 (x) is tanx c;Create your account View this answer We have to evaluate the integral ∫ tan2x sec2x dx ∫ tan 2 x sec 2Something went wrong Wait a moment and try



Integral Of Sec 6 X Tan 2 X Dx



Solve 1 Cos 2x Cos 4x Cos 6x
Integrate ∫ tan 3 2x sec 2x dx class12;Answer to Solve the following equation tan (2x) sec (2x) = cos (x) sin (x) By signing up, you'll get thousands of stepbystep solutions toFree trigonometric identities list trigonometric identities by request stepbystep Ex 7 3 15 Integrate Tan3 2x Sec 2x Class 12 Ncert Ex 7 3 Tan^2x sec^2x integralLet's go ahead and start with co sign Cubed, divided by one plus Sign axe and we're Going Teoh multiply by one minus sine x This equals co sign cubed times one might assign divided by one minus sine squared And now this could be simplified using one of our prefab goring identities in the denominator So this denominated equals co sine squaredIntegral of tan^4(x)*sec^6(x), calculus 2 trig integral, blackpenredpen integralwwwblackpenredpencom/calc2



How Do You Integrate 1 Tan2x Sec2x Dx Socratic



Integral Of Sec 6 X Tan 2 X Dx
Consider (tan^4x), (tan^4x = tan^2x (tan^2x) = tan^2x(sec^2x1) = sec^2x tan^2x tan^2x) Substitute the two back to (sec^4xsec^2x tan^2xtan^4x, and simplify it With the help of the identity sec^2xtan^2x = 1, you should be able to get the right side 4 Chapter 10 Techniques of Integration EXAMPLE 1012 Evaluate Z sin6 xdx Use sin2 x = (1 − cos(2x))/2 to rewrite the function Z sin6 xdx = Z (sin2 x)3 dx = Z (1− cos2x)3 8 dx = 1 8 Z 1−3cos2x3cos2 2x− cos3 2xdx Now we have four integrals to evaluate Z 1dx = x and ZAnswer (1 of 10) \int \frac{1\tan^2x}{1\tan^2x} \,dx \int \frac{1\tan^2x}{\sec^2x} \,dx \int Transcript Ex 76, 24 ∫1 𝑒^𝑥 sec𝑥 (1tan𝑥 )𝑑𝑥 "ex" cos x C (B) "ex" sec x C "ex" sin x C (D) 𝑒𝑥 tan x C ∫1 𝑒^𝑥 sec𝑥 (1tan𝑥 )𝑑𝑥 = ∫1 𝑒^𝑥 (sec𝑥sec𝑥 tan𝑥 )𝑑𝑥 It is of the form ∫1 〖𝑒^𝑥 𝑓(𝑥)𝑓^′ (𝑥) 〗 𝑑𝑥=𝑒^𝑥 𝑓(𝑥)𝐶 Where 𝑓(𝑥)=sec𝑥 𝑓



Solved If Int 0 Pi 4 Tan 6 X Sec X D X I Express The Value Of Int 0 Pi 4 Tan 8 X Sec X D X In Terms Of I



Int Tan 3 2x Sec 2x Dx Is Equal To A Frac 1 3 Sec 3 2x Frac 1 2 Sec 2x C B Frac 1 6 Sec 3 2x Frac 1 2 Sec 2x C C Frac 1 6 Sec 3
Therefore, this substitution works We replace tanx with u and sec^2(x)dx with duInt Sec 2x Tan 2x 4 Dx Maths Questions Integrate tan^2x sec^2x/1tan^6x Integrate tan^2x sec^2x/1tan^6xTan^2xsec^2x/1tan^6x Ask questions, doubts, problems and we will help youSin^2x = 1 cos(2x)/2;`int tanx sec^2x sqrt(1tan^2x) dx` `int tanx sec^2x sqrt(1tan^2x) dx` Books Physics NCERT DC Pandey Sunil Batra HC Verma Pradeep Errorless Chemistry NCERT P Bahadur The integral of the product of a constant and a



Int 1 Tan 2x Tan 4x Tan 6x Dx



Inttanx Tan2x Tan3x Dx Is Equal To
Why create a profile on Shaalaacom?Durash durash Math Secondary School answered Integral (tan^2x sec^2x)/(1tan^6x)dx 2 See answers Advertisement Advertisement Brainly User Brainly User Answer for the Above QuestionsIntegrate tan^2x sec^2x/1tan^6x Integrate tan^2x sec^2x/1tan^6x integration of 1 tan^2x can be written x tan^3/3 isn't it?©05 BE Shapiro Page 3 This document may not be reproduced, posted or published without permission The copyright holder makes no representation about the accuracy, correctness, orPosted by Nihal Gupta 7 months ago



The Integral Intsec 2 X Secx Tanx 9 2 Dx Equals For Some Arbitrary Constant K



1
Also, let me note some strategies for evaluating tanx integrals Trigonometric identity tan2(x) = sec2(x) −1 Power reduction formula ∫tann(x)dx = ∫tann−2(x) ⋅ (sec2(x) − 1)dx We're going to use the same kind of strategies when evaluating this integral, thus giving us ∫tan6(x)dx = ∫tan4(x)(sec2(x) − 1)dxIn the integral inttan^2xsec^2xdx, let u=tanx and du=sec^2xdx This gives us inttan^2xsec^2xdx=intu^2duSec 2 2x 1 Tan2x Youtube Integration of 1tan^2x/1tan^2x dx Integration of 1tan^2x/1tan^2x dx\\int \tan^{2}x\sec{x} \, dx\ >



Ncert Solutions For Class 12 Maths Chapter 7 Integrals Ex 7 6 Exercise 7 6



How To Integrate 2x Sec 3 X 2 3 Tan X 2 3 Quora
Answer to Find the integral \\intfrom 0 to 1 of tan^2x*sec^2x dx By signing up, you'll get thousands of stepbystep solutions to your homework=sec^4(x)2sec^2(x)sec(x)tan(x)(1cos^2(x))/cos^4(x) =2sec^4(x)sec^2(x)2sec^2(x)sec(x)tan(x) The integrals of the second and third functions areSec^6xtan^6x = 1 3 (tan^2x) (sec^2x) Lilp22 View Public Profile Find latest posts by Lilp22 neerajtiwari Posts 2, Reputation 1 New Member , 1053 PM Left Hand Side = sec^6 x tan^6 x = (sec²x tan²x) (sec^4 x (tan²x) (sec²x) tan^4 x) I got $\ln\sec(2x 1) \tan(2x1) \text C$ as an answer I saw that the integral of $\sec x$ is $\ln\sec x \tan x \text C$ But I feel I may have left something out because that was too easyIntegral of tan^2 (x) Integral Calculator Symbolab This website uses cookies to ensure you get the best experience By using this website, you agree to our Cookie Policy Learn more Accept



Answered Question 18 Find The Derivative Of Y Bartleby



50 Integral Of Tan 2 X 9736 Integral Tan X 2 Substitution
#I=inttan^2(x)sec(x)dx# Let #tan^2(x)=sec^2(x)1# which comes from the Pythagorean identity #I=int(sec^2(x)1)sec(x)dx=intsec^3(x)dxintsec(x)dx# The integral of #sec(x)# is well known #I=intsec^3(x)dxln(abs(sec(x)tan(x)))# The integral of #sec^3(x)# can be found through integration by parts with #u=sec(x)# and #dv=sec^2(x)dx# at this linkYouTrigonometric substitutions are a specific type of u u u substitutions and rely heavily upon techniques developed for those They use the key relations sin 2 x cos 2 x = 1 \sin^2x \cos^2x = 1 sin2 xcos2 x = 1, tan 2 x 1 = sec 2 x \tan^2x 1 = \sec^2x tan2 x 1 = sec2 x, and cot I've tried using substitutions for tan or sec, ie tan^2x 1 = sec^2x , but I can't get the answerThe integral tan^3 x sin^2 3x(2 sec^2 x sin^2 3x 3 tan x sin 6x)dx is equal to Get the answer to this question and access more number of related questions that are tailored for students



Soal Int X 1 Tan 2 3x 2 6x Sec 2 3x 2 6x Dx



Evaluate Int Tanxsec 2x 1 Tan 2x Dx
Explanation We will want to approach this so as to leave a sec2(x) term hanging around in the integral ( This will act as du if we set u = tan(x)) If we convert the remaining sec4(x) into functions of tan(x) through Pythagorean identities, then we can use u substitution ∫tan6(x)sec6(x)dx = ∫tan6(x)sec4(x)sec2(x)dxIntegration of tan^2x sec^2x/ 1tan^6x dx Ask questions, doubts, problems and we will help you Evaluate ∫ sin^3 x dx/((cos^4 x 3 cos^2 x 1) tan^–1 (sec x cos x)) asked in Integrals calculus by Abhilasha01 ( 376k points) indefinite integral First, get everything in terms of sec(x) tex\int sec^5(x)tan^2(x)dx = \int sec^7(x) sec^5(x)dx = \int sec^7(x)dx \int sec^5(x)dx /tex Use integration by parts on both integrals on the right For the first u = sec 5 (x) and dv = sec 2 (x)



Integration Calculus Notes



Answered 11 Evaluate The Integral Tan 2x Dx A Bartleby
Evaluate the integral ∫sec^6x tan x dx Evaluate the following integrals ∫sec^4 2x dx asked in Indefinite Integral by rahul01 (293k points) indefinite integral;X − 1 ( = u 2 − 1) to replace the leftover tangents m m is even or n n is odd Use either 1 1 or 2 2 (both will work) The power of secant is odd and the power of tangent is even No guideline The integrals ∫ secxdx ∫ sec x d x and ∫ sec3xdx ∫ sec 3 x The trigonometrical identity says 1tan^2x = sec^2 x that means sec^2 x – tan^2 x = 1However in our question, its tan^2 x sec^2 x or say sec^2 x tan^2 x = 1 which is completely against the identity Hense answer is FalseAdditional information There is, with a little difference, as equation which is true ie tan^2 x sec x = 1 for some(b) 3cos2 x−sin2 x =1 − π 2 The identity, as



Answered 28 Tan 2x Sec 2x Dx Bartleby



Calculus Integration Strategy Trig Tan 6x Sec 4x Even Power Products Youtube
Your substitution is not correct You should still still have a $\sin^3 x$ upstairs However when integrating a product of an even power of $\tan$ with an even power of $\sec$, you can do the following, which takes advantage of the facts that $\tan^2x1=\sec^2 x$ and that the derivative of $\tan x$ is $\sec^2 x$Click here 👆 to get an answer to your question ️ sec^6xtan^6x=13 tan^2x sec^2x RamanBhardwajRB87 RamanBhardwajRB87 Math Secondary School Sec^6xtan^6x=13 tan^2x sec^2x 1 See answer RamanBhardwajRB87 is waiting for your help Add your answer and earn points Brainly User Brainly UserSolve your math problems using our free math solver with stepbystep solutions Our math solver supports basic math, prealgebra, algebra, trigonometry, calculus and moreMultiplying numerator and denominator by the denominator we get (cos^2 x/2 sin^2 x/2) / ( cos x/2 sinx/2)^2 = cos x / ( 1 sin x) = 1/ ( secx tanx) (secx tanx)/ (sec^2x tan^2x) = secx tanx *Formula used ** tanx/2 = sin



Q29 Sin 3 X Cos 3 X Sin 2 X Cos 2 X Integral Of Sin 3 X Cos 3 X Sin 2 X Cos 2 X Youtube



Int Sec 2x 16 Tan 2x Dx
Get stepbystep solutions from expert tutors as fast as 1530 minutes Your first 5 questions are on us!Solved Integral Dx 1 Tan 2x Chegg Com Tan x 2 integral Weierstrass Substitution Wikipedia Solved Evaluate The Integral Int Sec 2 X Tan 2 X D X(Use C for the constant of integration) (3 (1 − tan 2x))/ sec 2x dx (Use C for the constant of integration) (3 (1 − tan 2 x))/ sec 2 x dx Expert Answer Who are the experts?



How Do You Integrate Int Sec 1 X Tan 1 X Dx Socratic



How Many Can You Derive From First Principles Ppt Download
We are asked to determine the integral of sec 2x tan 2x dx sec 2x is equivalent to 1/cos2x while tan 2x is equal to sin 2x/cos 2x In this case, the expression becomes sin 2x/ cos^2 2x We use cos 2x as u so the du is equal to 2 sin 2x dx The equation then becomes1/2∫1/u^2 du =05/cos 2x c = 05 sec 2x c, where c is a constantEx 74, 9 sec 2 tan 2 4 Let tan = Diff both sides wrt x sec 2 = = sec 2 Integrating the function sec 2 tan 2 4 Putting value of tan = and = sec 2 = sec 2 t How Do You Integrate Int Sec 2x 1 Tanx 3 Using Substitution Socratic Integration of 1/sec^2x tan^2xExperts are tested by Chegg as specialists in their subject area We review their content and use your feedback to keep the quality high



Integration Of Sec 2x Tanx Brainly In



Evaluate Lim X P 4 Tan X Tan2x Sarthaks Econnect Largest Online Education Community
integration of tan 1 5x 1 6x 2 dx Mathematics TopperLearningcom zb45f7yyIntegration of 1/sec^2x tan^2xGet stepbystep solutions from expert tutors as fast as 1530 minutes Your first 5 questions are on us!0 votes 1 answer Evaluate the following integrals ∫sec^4x tanx dx



Integral Tan 2x Sec 2x 1 Tan 6x Dx Brainly In



What Is The Integral Of Tanx Sec 2x 1 Tan 2x Math Central



If Tan 2 X Sec X A 0 Has Atleast One Solution Then Complete Set Of V Askiitians



If Tanx Tan 2x 1 Then The Value Of Tan 4x 2 Tan 3x Tan 2x 2 T



Solved Integral 2x Sec X 2 Tan X 2 Dx Integral Cot Theta D Chegg Com



Math34 Trigonometric Formulas



Solved 1 Differentiate The Following With Respect To X Y Chegg Com



Evaluate The Following Integrals Sec 4 2x Dx Sarthaks Econnect Largest Online Education Community



1



Answered 4 Sec 2x Tan 2x Y 0 4 Y 0 1 Bartleby



The Integral Int Sec 2x Secx Tanx 9 2 Dx Equals For Some Ar



Solved 16 Integrate Dx A Xº Sin 4x Dx B 4xcosh 3x Dx Chegg Com



Integration Worksheet Solution Methods Calculus I Math 229 Docsity



Ex 7 3 15 Integrate Tan3 2x Sec 2x Class 12 Ncert Ex 7 3



Ex 7 4 9 Integrate Sec 2 X Root Tan 2 X 4 Ncert Class 12



Solve Int1 Cos 2x 1 Tanx 2dx



Misc 32 Definite Integral X Tan X Sec X Tanx Miscellaneous



What Is The Integral Of Sec X Sec 2x Quora



Evaluate X 2 X Sec 2 X Tan X X Tan X 1 2 Dx Sarthaks Econnect Largest Online Education Community



The Integral Tan 3 X Sin 2 3x 2 Sec 2 X Sin 2 3x 3 Tan X Sin 6x Dx Is Equal To



Integral 2



Evaluate Tan X Sec 2 X 1 Tan 2 X Dx Sarthaks Econnect Largest Online Education Community



If Sec Tita X 1 4x Sec Tita Tan Tita 2x Or 1 2x Mathematics Topperlearning Com 15o2fj



How Do We Prove That Tan2x 1 Sec2x Tanx Quora



Integration Trig Identities Ppt Download



Lim X P 4 Sec 2 X 2 Tan X 1 Is A 3 B 1 C 0 D 2 Sarthaks Econnect Largest Online Education Community



Ex 7 2 21 Integrate Tan2 2x 3 Class 12 Cbse Ex 7 2



How Do You Integrate 6x 1 X 2 2x 3 Socratic



Example 22 Find Derivative Of Tan 2x 3 Chapter 5 Class 12



What Is The Integral Of Int Tan 4 X Sec 3 X Socratic



Powers Of Trigonometric Functions



Integration Calculus Notes



Engineering Mathematics Notes



Int Tan 2xsec 2x 1 Tan 6x Dx



Sec 6x Tan 6x 1 2 Tan 2x Sec 2x Important Difficult Trigonometric Identity Youtube



Your 3 In Terms Express Point Le H 2 The Let Tan Itprospt



Solved If Displaystyle Int 0 Frac Pi 4 Tan 6 X Sec X Dx I Express The Value Of Displaystyle Int 0 Frac Pi 4 Tan 8 X Sec X Dx In Terms Of I



Ex 7 3 15 Integrate Tan3 2x Sec 2x Class 12 Ncert Ex 7 3



How Do You Integrate Csc2x Cot2x 2 Dx Socratic



Solved Integral 5 2x Dx Integral 6x 2 3x 2 2 Dx Chegg Com



1



How Do You Integrate Int Sec 2x 1 Tanx 3 Using Substitution Socratic



Find Integral X 2 Sin 2 X Sec 2 X 1 X 2 Teachoo



Copyright C Cengage Learning All Rights Reserved 7 Techniques Of Integration Ppt Download



Int Tan 3 2x Sec 2x Dx Is Equal To A Frac 1 3 Sec 3 2x Frac 1 2 Sec 2x C B Frac 1 6 Sec 3 2x Frac 1 2 Sec 2x C C Frac 1 6 Sec 3



Integration Trig Identities Ppt Download



Geneseo Math 222 01 Trigonometric Integration



How To Integrate 2x Sec 3 X 2 3 Tan X 2 3 Quora



Ncert Solutions For Class 12 Maths Chapter 7 Integrals 19 Session



How Do You Evaluate The Integral 1 Tan X 3 Sec 2 X Dx Within The Range 0 Pi 4 Socratic



Trigonometric Integrals



Find Int Frac Tan 2 X Sec 2 X 1 Tan 6 X Dx Snapsolve



Your 3 In Terms Express Point Le H 2 The Let Tan Itprospt



Integration Calculus Notes



1



Solved Find The Indefinite Integral Use C For The Constant Chegg Com



Powers Of Trigonometric Functions



Can I Integrate Math Tan 2 X Sec 3 X Math Using The Substitution Quora



Integrate Tan 6 X Sec 2 X Dx With U Substitution Youtube



Prove That Tan 8x Tan 6x Tan 2x Tan 8x Tan 6x Tan 2x



Int Tan 2xsec 2x 1 Tan 6x Dx Youtube



Answered Tan 2x Sec 2x Dx Evaluate Cos 2x O 1 Bartleby



Q45 Integral Of 1 Tan 2x Sec 2x Youtube



Answered The Integral Of Tan 5 X Sec 3 X Dx Bartleby



Pdf Trigonometric Integrals Jerome Delen Academia Edu



Tan 2x Sec 2x 1 5



Solved 6x Dx 7 Find The Indefinite Inte Sin 6x 3 Sin 6x Chegg Com



Integrating Using Different Methods 60 Questions Teaching Resources



Copyright C Cengage Learning All Rights Reserved 7 Techniques Of Integration Ppt Download



Evaluate Int Tan 2xsec 2x 1 Tan 6x Dx



Solved If Displaystyle Int 0 Frac Pi 4 Tan 6 X Sec X Dx I Express The Value Of Displaystyle Int 0 Frac Pi 4 Tan 8 X Sec X Dx In Terms Of I



Apex Trigonometric Integrals



Int 0 Pi 4 Tan 6 X Sec 2 X Dx



Integral 1 Tan 2 X Sec 2 X Youtube



Integration Trig Identities Ppt Download



Integral Of Sec 2 X Sqrt 1 Tan 2 X Using The Arcsine Function Math Videos Maths Exam Calculus


0 件のコメント:
コメントを投稿